Trigonometric Functions Derivatives

Understanding the derivatives of trigonometric functions is crucial for anyone studying calculus or advanced mathematics. These functions are fundamental in various fields, including physics, engineering, and computer graphics. This post will delve into the trigonometric functions derivatives, their applications, and how to compute them effectively.

Understanding Trigonometric Functions

Trigonometric functions are essential in mathematics and are used to model periodic phenomena. The primary trigonometric functions are sine (sin), cosine (cos), and tangent (tan). These functions are defined for angles in a right triangle or on the unit circle. Understanding their derivatives is key to solving many problems in calculus and beyond.

Basic Trigonometric Functions and Their Derivatives

Let’s start by listing the basic trigonometric functions and their derivatives. These derivatives are derived using the limit definition of a derivative.

Function Derivative
sin(x) cos(x)
cos(x) -sin(x)
tan(x) sec²(x)
cot(x) -csc²(x)
sec(x) sec(x)tan(x)
csc(x) -csc(x)cot(x)

These derivatives are fundamental and are used extensively in calculus. For example, the derivative of sin(x) is cos(x), which is derived using the limit definition of a derivative. Similarly, the derivative of cos(x) is -sin(x).

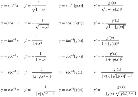
Derivatives of Inverse Trigonometric Functions

In addition to the basic trigonometric functions, it’s also important to understand the derivatives of their inverse functions. These inverse functions are crucial in various applications, including integration and solving trigonometric equations.

Function Derivative
arcsin(x) 1/√(1-x²)
arccos(x) -1/√(1-x²)
arctan(x) 1/(1+x²)
arccot(x) -1/(1+x²)
arcsec(x) 1/(|x|√(x²-1))
arccsc(x) -1/(|x|√(x²-1))

These derivatives are derived using the inverse function rule and the chain rule. For example, the derivative of arcsin(x) is 1/√(1-x²), which is derived using the inverse function rule and the chain rule.

Applications of Trigonometric Functions Derivatives

The derivatives of trigonometric functions have numerous applications in various fields. Here are a few key areas where these derivatives are used:

  • Physics: Trigonometric functions and their derivatives are used to model periodic motion, such as waves and oscillations. For example, the derivative of sin(x) is used to model the velocity of a simple harmonic oscillator.
  • Engineering: In engineering, trigonometric functions are used to analyze circuits, signals, and structures. The derivatives of these functions are used to determine rates of change and optimize designs.
  • Computer Graphics: Trigonometric functions are used in computer graphics to model rotations and transformations. The derivatives of these functions are used to animate objects and create smooth transitions.
  • Mathematics: In mathematics, trigonometric functions and their derivatives are used to solve differential equations, integrate functions, and analyze geometric properties.

These applications highlight the importance of understanding trigonometric functions derivatives in various fields. By mastering these derivatives, you can solve complex problems and gain a deeper understanding of the underlying principles.

Computing Trigonometric Functions Derivatives

Computing the derivatives of trigonometric functions involves using the limit definition of a derivative and applying various rules of differentiation. Here are the steps to compute the derivative of a trigonometric function:

  1. Identify the trigonometric function and its derivative formula.
  2. Apply the chain rule if the function is composed with another function.
  3. Simplify the expression using trigonometric identities if necessary.
  4. Verify the result using a calculator or software tool.

For example, to compute the derivative of sin(2x), you would follow these steps:

  1. Identify the function: sin(2x).
  2. Apply the chain rule: cos(2x) * 2.
  3. Simplify the expression: 2cos(2x).
  4. Verify the result using a calculator or software tool.

💡 Note: Always double-check your results using a calculator or software tool to ensure accuracy.

Common Mistakes to Avoid

When computing the derivatives of trigonometric functions, it’s important to avoid common mistakes. Here are a few tips to help you avoid these mistakes:

  • Forgetting the Chain Rule: Remember to apply the chain rule when the trigonometric function is composed with another function.
  • Incorrect Derivative Formulas: Make sure you use the correct derivative formulas for each trigonometric function.
  • Not Simplifying: Always simplify the expression using trigonometric identities if necessary.
  • Incorrect Signs: Pay attention to the signs of the derivatives, especially for cosine and cotangent.

By avoiding these common mistakes, you can compute the derivatives of trigonometric functions accurately and efficiently.

In conclusion, understanding trigonometric functions derivatives is essential for anyone studying calculus or advanced mathematics. These derivatives are used in various fields, including physics, engineering, and computer graphics. By mastering the derivatives of trigonometric functions, you can solve complex problems and gain a deeper understanding of the underlying principles. Whether you’re a student, a professional, or simply curious about mathematics, understanding these derivatives will open up new possibilities and enhance your problem-solving skills.

Related Terms:

  • differentiation of trigonometric function pdf
  • trigonometric functions derivatives worksheet
  • trigonometric functions derivatives examples
  • derivatives calculator
  • derivatives of trigonometric functions list
  • hyperbolic trigonometric functions derivatives
Facebook Twitter WA
Ashley
Ashley
Author
Passionate content creator delivering insightful articles on technology, lifestyle, and more. Dedicated to bringing quality content that matters.
You Might Like