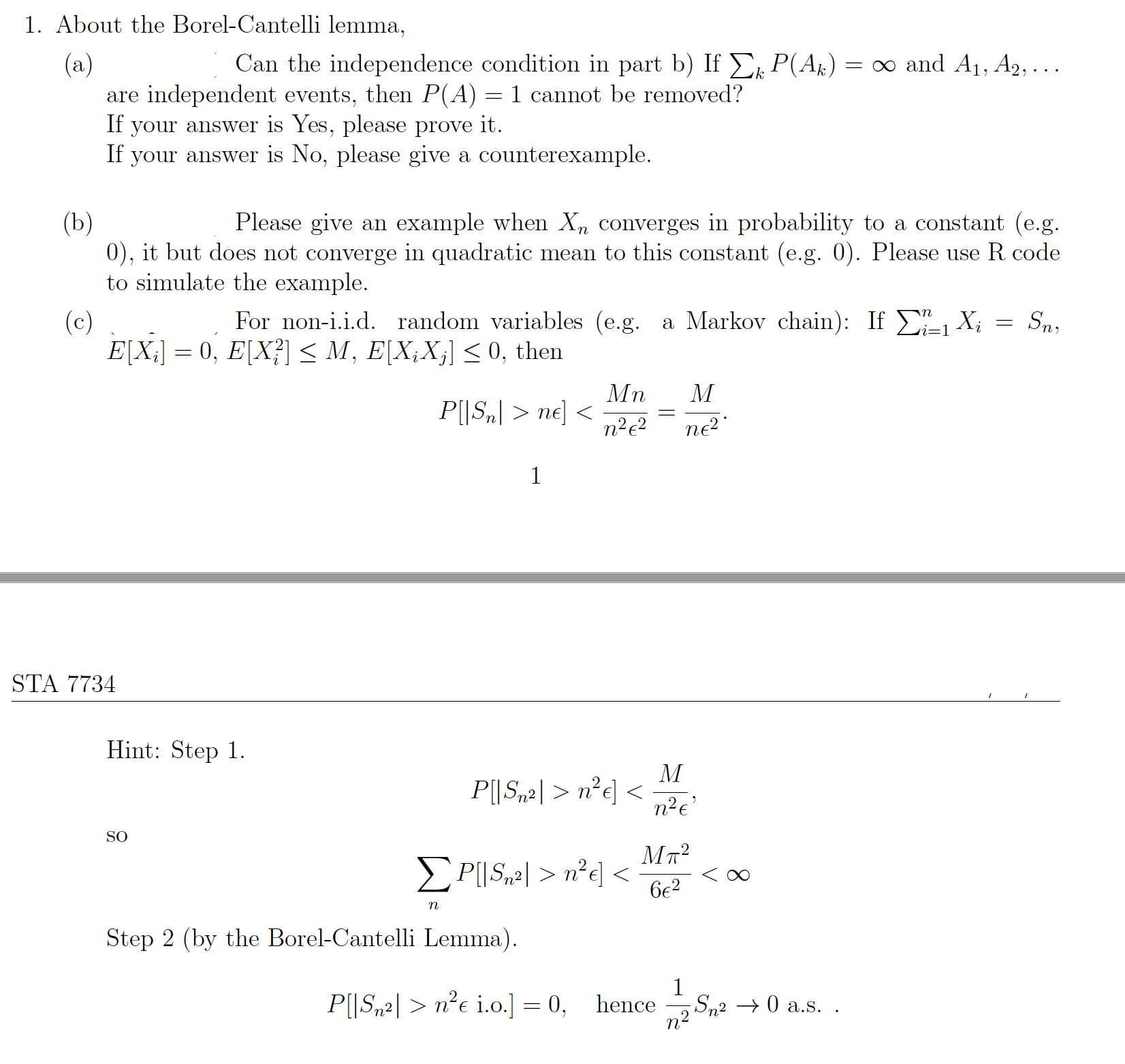
Solved 1. About the Borel-Cantelli lemma, (a) Can the | Chegg.com
Art

Solved 1. About the Borel-Cantelli lemma, (a) Can the | Chegg.com

1652 × 1562px February 26, 2025 Ashley
Download

Probability theory is a rich and complex field that provides the mathematical foundation for understanding random phenomena. One of the fundamental tools in this field is the Borel-Cantelli Lemma, a powerful result that helps in analyzing the behavior of sequences of events. This lemma is particularly useful in scenarios involving infinite sequences of random events, where it provides conditions under which the occurrence of infinitely many events has a probability of zero or one.

Understanding the Borel-Cantelli Lemma

The Borel-Cantelli Lemma is named after the French mathematician Émile Borel and the Italian mathematician Francesco Paolo Cantelli. It consists of two parts, each providing a different condition for the convergence of a sequence of events. The lemma is stated as follows:

Borel-Cantelli Lemma (First Part): If A1, A2, A3, ... is a sequence of events in a probability space, and if the sum of the probabilities of these events is finite, i.e.,

n=1 P(An) < ∞,

then the probability that infinitely many of the events An occur is zero. In other words,

P(An i.o.) = 0,

where "i.o." stands for "infinitely often."

Borel-Cantelli Lemma (Second Part): If A1, A2, A3, ... is a sequence of independent events in a probability space, and if the sum of the probabilities of these events is infinite, i.e.,

n=1 P(An) = ∞,

then the probability that infinitely many of the events An occur is one. In other words,

P(An i.o.) = 1.

Applications of the Borel-Cantelli Lemma

The Borel-Cantelli Lemma has wide-ranging applications in probability theory and statistics. Some of the key areas where it is applied include:

  • Convergence of Random Series: The lemma is used to determine the almost sure convergence of random series. For example, it can be used to show that the sum of independent random variables with finite variance converges almost surely.
  • Law of Large Numbers: The lemma plays a crucial role in the proof of the Strong Law of Large Numbers, which states that the sample average of a sequence of independent and identically distributed random variables converges almost surely to the expected value.
  • Probabilistic Number Theory: In number theory, the lemma is used to study the distribution of prime numbers and other number-theoretic properties. For instance, it can be used to show that the probability of a randomly chosen integer being prime is zero.
  • Random Walks and Markov Chains: The lemma is applied in the analysis of random walks and Markov chains, where it helps in understanding the long-term behavior of these processes. For example, it can be used to show that a random walk on a lattice will almost surely return to the origin infinitely often.

Proof of the Borel-Cantelli Lemma

The proof of the Borel-Cantelli Lemma involves some fundamental concepts in measure theory and probability. Here, we provide a sketch of the proof for both parts of the lemma.

First Part

Consider a sequence of events A1, A2, A3, ... such that

n=1 P(An) < ∞.

We need to show that

P(An i.o.) = 0.

Define the event Bk as the occurrence of at least k events in the sequence A1, A2, A3, .... Then,

P(Bk) ≤ ∑n=k P(An).

Since the sum of the probabilities is finite, for any ε > 0, there exists an N such that

n=N P(An) < ε.

Therefore, for k > N,

P(Bk) < ε.

As ε can be made arbitrarily small, it follows that

P(An i.o.) = 0.

Second Part

Consider a sequence of independent events A1, A2, A3, ... such that

n=1 P(An) = ∞.

We need to show that

P(An i.o.) = 1.

Define the event Ck as the occurrence of at least k events in the sequence A1, A2, A3, .... Then,

P(Ck) ≥ 1 - ∑n=k (1 - P(An)).

Since the sum of the probabilities is infinite, for any ε > 0, there exists an N such that

n=N P(An) > 1/ε.

Therefore, for k > N,

P(Ck) > 1 - ε.

As ε can be made arbitrarily small, it follows that

P(An i.o.) = 1.

💡 Note: The proof of the second part relies on the independence of the events. If the events are not independent, the conclusion may not hold.

Examples Illustrating the Borel-Cantelli Lemma

To better understand the Borel-Cantelli Lemma, let's consider a few examples that illustrate its application.

Example 1: Coin Tosses

Consider a sequence of independent coin tosses, where each toss results in heads with probability p. Let An be the event that the n-th toss results in heads. Then,

P(An) = p.

If p < 1, then

n=1 P(An) = ∑n=1 p = ∞.

By the second part of the Borel-Cantelli Lemma, the probability that heads occurs infinitely often is 1. This means that with probability 1, heads will occur infinitely many times in the sequence of coin tosses.

Example 2: Random Variables with Finite Variance

Consider a sequence of independent and identically distributed random variables X1, X2, X3, ... with finite variance. Let An be the event that |Xn| > n. Then,

P(An) ≤ E[|X1|2]/n2.

Since the variance is finite,

n=1 P(An) < ∞.

By the first part of the Borel-Cantelli Lemma, the probability that |Xn| > n occurs infinitely often is 0. This means that with probability 1, |Xn| < n for all but finitely many n.

Extensions and Generalizations

The Borel-Cantelli Lemma has been extended and generalized in various ways to handle more complex scenarios. Some of the notable extensions include:

  • Dependent Events: The lemma has been generalized to sequences of dependent events, where the events are not necessarily independent. This generalization often involves additional conditions on the dependence structure.
  • Continuous-Time Processes: The lemma has been extended to continuous-time processes, such as Brownian motion and Poisson processes. In these cases, the lemma helps in understanding the long-term behavior of the process.
  • Multivariate Sequences: The lemma has been generalized to multivariate sequences, where the events are defined in a higher-dimensional space. This generalization is useful in studying the joint behavior of multiple random variables.

Conclusion

The Borel-Cantelli Lemma is a fundamental result in probability theory that provides powerful tools for analyzing the behavior of sequences of events. It helps in determining the conditions under which the occurrence of infinitely many events has a probability of zero or one. The lemma has wide-ranging applications in various fields, including convergence of random series, law of large numbers, probabilistic number theory, and random walks. Understanding the Borel-Cantelli Lemma is essential for anyone studying probability theory and its applications.

Related Terms:

  • borel cantelli lemma proof
  • borel cantelli lemma variations
  • borel cantelli lemma theorem
  • proof of borel cantelli lemma
  • borel cantelli theorem
  • borel cantelli lemma variants
Art
🖼 More Images